728x90
728x90
문제
피보나치 수는 0과 1로 시작한다. 0번째 피보나치 수는 0이고, 1번째 피보나치 수는 1이다. 그 다음 2번째 부터는 바로 앞 두 피보나치 수의 합이 된다.
이를 식으로 써보면 $F_{n} = F_{n-1} + F_{n-2} (n ≥ 2)$ 가 된다.
`n=17` 일때 까지 피보나치 수를 써보면 다음과 같다.
0, 1, 1, 2, 3, 5, 8, 13, 21, 34, 55, 89, 144, 233, 377, 610, 987, 1597
`n`이 주어졌을 때, `n`번째 피보나치 수를 구하는 프로그램을 작성하시오.
입력
첫째 줄에 `n`이 주어진다. `n`은 20보다 작거나 같은 자연수 또는 0이다.
출력
첫째 줄에 n번째 피보나치 수를 출력한다.
예제 입력 1
10
예제 출력 1
55
알고리즘 분류
- 수학
- 구현
문제 출처
https://www.acmicpc.net/problem/10870
10870번: 피보나치 수 5
피보나치 수는 0과 1로 시작한다. 0번째 피보나치 수는 0이고, 1번째 피보나치 수는 1이다. 그 다음 2번째 부터는 바로 앞 두 피보나치 수의 합이 된다. 이를 식으로 써보면 Fn = Fn-1 + Fn-2 (n ≥ 2)가
www.acmicpc.net
문제 해결 방법
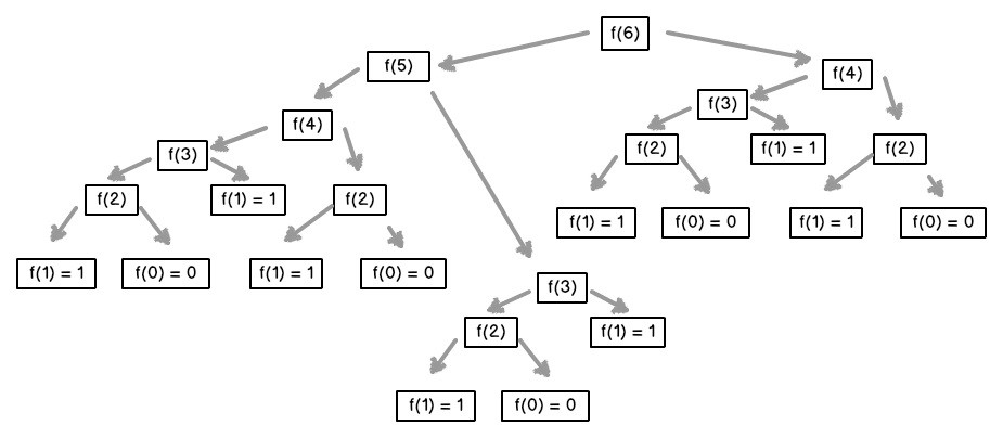
- 재귀 함수를 이용하여 피보나치 수를 구현하였다.
int fibonacci(int n) {
if (n == 0) {
return 0;
}
else if (n == 1) {
return 1;
}
return fibonacci(n - 1) + fibonacci(n - 2);
}
- 피보나치 수와 관련된 내용은 이곳을 참고한다.

코드
#include <iostream>
using namespace std;
int fibonacci(int n) {
if (n == 0) {
return 0;
}
else if (n == 1) {
return 1;
}
return fibonacci(n - 1) + fibonacci(n - 2);
}
int n;
int main() {
ios_base::sync_with_stdio(false);
cin.tie(NULL);
cout.tie(NULL);
cin >> n;
cout << fibonacci(n) << '\n';
return 0;
}
채점 결과

참고
- [단계별로 풀어보기] > [재귀]
- 브론즈II
728x90
728x90
'Problem Solving > BOJ' 카테고리의 다른 글
| [BOJ-11729][C++] 하노이 탑 이동 순서 (0) | 2022.11.03 |
|---|---|
| [BOJ-2447][C++] 별 찍기 - 10 (0) | 2022.11.03 |
| [BOJ-24060][C++] 알고리즘 수업 - 병합 정렬 1 (0) | 2022.11.02 |
| [BOJ-25501][C++] 재귀의 귀재 (0) | 2022.11.02 |
| [BOJ-10872][C++] 팩토리얼 (0) | 2022.11.02 |
| [BOJ-18870] 좌표 압축 (0) | 2022.11.01 |
| [BOJ-10814][C++] 나이순 정렬 (0) | 2022.11.01 |
| [BOJ-1181] 단어 정렬 (0) | 2022.11.01 |